Analytical Sciences


Cover image of volume 30, number 7

Volume 30, Number 7 (2014)

Cover illustration of this month"Applicability of the DPPH Assay for Evaluating the Antioxidant Capacity of Food Additives – Inter-laboratory Evaluation Study –" by Tomoko SHIMAMURA et al. (p.717). See larger image


Hot Articles − Volume 30, Number 7 (2014)

hot article mark
Poly(thymine)-templated Fluorescent Copper Nanoparticles for Ultrasensitive Label-free Detection of Pb2+ Ion
LiJuan OU, XiaoYan LI, HongWei LIU, LiJuan LI, and Xia CHU
Keywords: Polythymine, copper nanoparticles, label-free, fluorescence detection, lead ions
Analytical Sciences, 2014, 30(7), 723.
DOI: 10.2116/analsci.30.723

hot article mark
Zero-velocity Magnetophoretic Method for the Determination of Particle Magnetic Susceptibility
Hitoshi WATARAI, Hoang Trong Tien DUC, Tran Thi Ngoc LAN, Tianyi ZHANG, and Satoshi TSUKAHARA
Keywords: Magnetophoresis, magnetophoretic velocimetry, magnetic susceptibility, micro particle, zero-velocity method
Analytical Sciences, 2014, 30(7), 745.
DOI: 10.2116/analsci.30.745

hot article mark
Assessment of the Efficacy of Anticancer Drugs by Amino Acid Metabolomics Using Fluorescence Derivatization-HPLC
Ryoko TOMITA, Kenichiro TODOROKI, Kazuyuki MACHIDA, Sho NISHIDA, Hiroshi MARUOKA, Hideyuki YOSHIDA, Toshihiro FUJIOKA, Manabu NAKASHIMA, Masatoshi YAMAGUCHI, and Hitoshi NOHTA
Keywords: Amino acids, metabolomics, fluorescence derivatization, liquid chromatography, anticancer drug, tumor cells
Analytical Sciences, 2014, 30(7), 751.
DOI: 10.2116/analsci.30.751


Table of Contents − Volume 30, Number 7 (2014)

Call for Papers

Molecular Imaging for Bioanalysis
Analytical Sciences, 2014, 30(7), 705.
DOI: 10.2116/analsci.30.705

Special Reviews

Quasi-elastic Laser Scattering for Measuring Inhomogeneous Interfacial Tension in Non-equilibrium Phenomena with Convective Flows
Tomonori NOMOTO, Taro TOYOTA, and Masanori FUJINAMI
Keywords: Interfacial tension, surface tension, surfactants, Marangoni effect, autonomous oscillation, Belousov-Zhabotinsky reaction, camphor boat, alcohol droplet
Analytical Sciences, 2014, 30(7), 707.
DOI: 10.2116/analsci.30.707
figure

Original Papers

Applicability of the DPPH Assay for Evaluating the Antioxidant Capacity of Food Additives – Inter-laboratory Evaluation Study –
Tomoko SHIMAMURA, Yoshihiro SUMIKURA, Takeshi YAMAZAKI, Atsuko TADA, Takehiro KASHIWAGI, Hiroya ISHIKAWA, Toshiro MATSUI, Naoki SUGIMOTO, Hiroshi AKIYAMA, and Hiroyuki UKEDA
Keywords: DPPH assay, inter-laboratory study, antioxidant, and food additive
Analytical Sciences, 2014, 30(7), 717.
DOI: 10.2116/analsci.30.717
figure

hot article mark
Poly(thymine)-templated Fluorescent Copper Nanoparticles for Ultrasensitive Label-free Detection of Pb2+ Ion
LiJuan OU, XiaoYan LI, HongWei LIU, LiJuan LI, and Xia CHU
Keywords: Polythymine, copper nanoparticles, label-free, fluorescence detection, lead ions
Analytical Sciences, 2014, 30(7), 723.
DOI: 10.2116/analsci.30.723
figure

Caesium and Lanthanum Suppression of Signal Fluctuation in Flame Atomic Absorption and Atomic Emission Spectrometry
Przemyslaw NIEDZIELSKI and Armand DOSTATNI
Keywords: Atomic absorption spectrometry, caesium, lanthanum, fast sequential analysis, signal correction
Analytical Sciences, 2014, 30(7), 729.
DOI: 10.2116/analsci.30.729
figure

Determination of Trace Impurities in Germanium Dioxide by ICP-OES, ICP-MS and ETAAS after Matrix Volatilization: A Long-run Performance of the Method
Matti NIEMELÄ, Harri KOLA, and Paavo PERÄMÄKI
Keywords: Germanium dioxide, matrix volatilization, impurity analysis, inductively coupled plasma mass spectrometry, inductively coupled plasma optical emission spectrometry, electrothermal atomic absorption spectrometry
Analytical Sciences, 2014, 30(7), 735.
DOI: 10.2116/analsci.30.735
figure

Simultaneous Enantioseparation of Monosaccharides Derivatized with L-Tryptophan by Reversed Phase HPLC
Mami AKABANE, Atsushi YAMAMOTO, Sen-ichi AIZAWA, Atsushi TAGA, and Shuji KODAMA
Keywords: Enantioseparation, monosaccharide, HPLC, borate, diastereomer
Analytical Sciences, 2014, 30(7), 739.
DOI: 10.2116/analsci.30.739
figure

hot article mark
Zero-velocity Magnetophoretic Method for the Determination of Particle Magnetic Susceptibility
Hitoshi WATARAI, Hoang Trong Tien DUC, Tran Thi Ngoc LAN, Tianyi ZHANG, and Satoshi TSUKAHARA
Keywords: Magnetophoresis, magnetophoretic velocimetry, magnetic susceptibility, micro particle, zero-velocity method
Analytical Sciences, 2014, 30(7), 745.
DOI: 10.2116/analsci.30.745
figure

hot article mark
Assessment of the Efficacy of Anticancer Drugs by Amino Acid Metabolomics Using Fluorescence Derivatization-HPLC
Ryoko TOMITA, Kenichiro TODOROKI, Kazuyuki MACHIDA, Sho NISHIDA, Hiroshi MARUOKA, Hideyuki YOSHIDA, Toshihiro FUJIOKA, Manabu NAKASHIMA, Masatoshi YAMAGUCHI, and Hitoshi NOHTA
Keywords: Amino acids, metabolomics, fluorescence derivatization, liquid chromatography, anticancer drug, tumor cells
Analytical Sciences, 2014, 30(7), 751.
DOI: 10.2116/analsci.30.751
figure

Determination of Herbicides and Its Metabolite in Soil and Water Samples by Capillary Electrophoresis-laser Induced Fluorescence Detection Using Microwave-assisted Derivatization
Liwei CAO, Tao DENG, Siliu LIANG, Xiaofang TAN, and Jianxin MENG
Keywords: Capillary electrophoresis, laser induced fluorescence detection, herbicide, micro-assisted derivatization, 5-(4, 6-dichlorotriazinylamino) fluorescein (DTAF), fluorescein isothiocyanate (FITC)
Analytical Sciences, 2014, 30(7), 759.
DOI: 10.2116/analsci.30.759
figure

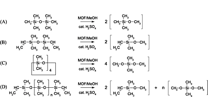
Decomposition Procedure Using Methyl Orthoformate to Analyze Silicone Polymers
Yuichiro FUJIMOTO, Keisuke SOGABE, and Hajime OHTANI
Keywords: Polysiloxane, methyl orthoformate, decomposition, GC/MS
Analytical Sciences, 2014, 30(7), 767.
DOI: 10.2116/analsci.30.767
figure

Notes

Application of Capillary Electrophoresis with Laser-induced Fluorescence Detection for the Determination of Trace Neodymium in Spent Nuclear Fuel Using Complexation with an Emissive Macrocyclic Polyaminocarboxylate Probe
Tomoko HARAGA, Shingo SAITO, Yoshiyuki SATO, Shiho ASAI, Yukiko HANZAWA, Hitoshi HOSHINO, Masami SHIBUKAWA, Ken-ichiro ISHIMORI, and Kuniaki TAKAHASHI
Keywords: Capillary electrophoresis, fluorescence detection, neodymium, spent nuclear fuel, high-level radioactive wastes, burnup, polyaminocarboxylate, ternary complex formation
Analytical Sciences, 2014, 30(7), 773.
DOI: 10.2116/analsci.30.773
figure

Announcements

Analytical Sciences, 2014, 30(7), 777.
DOI: 10.2116/analsci.30.777