Analytical Sciences


Cover image of volume 30, number 8

Volume 30, Number 8 (2014)

Cover illustration of this month"A Specific Synergistic Effect in Ionic Liquid Chelate Extraction Based on Neutral Ternary Chloro-complex Formation" by Motoya SAKATO et al. (p.783). See larger image


Hot Articles − Volume 30, Number 8 (2014)

hot article mark
Optical Characterization of the Antigen–Antibody Thin Layer Using the Whispering Gallery Mode
Takeshi TAJIRI, Shuzo MATSUMOTO, Toshihiko IMATO, Toshihiro OKAMOTO, and Masanobu HARAGUCHI
Keywords: Microsphere,whispering gallery mode,resonance sensors,biosensors
Analytical Sciences, 2014, 30(8), 799.
DOI: 10.2116/analsci.30.799

hot article mark
Ligation-Independent Mechanism of Multiplex Ligation-Dependent Probe Amplification
Naoki UNO and Katsunori YANAGIHARA
Keywords: MLPA,ligation,fragment analysis,helicase-dependent amplification
Analytical Sciences, 2014, 30(8), 805.
DOI: 10.2116/analsci.30.805


Table of Contents − Volume 30, Number 8 (2014)

Rapid Communications

A Specific Synergistic Effect in Ionic Liquid Chelate Extraction Based on Neutral Ternary Chloro-complex Formation
Motoya SAKATO and Naoki HIRAYAMA
Keywords: Ionic liquid chelate extraction,synergistic effect,ternary complex,chloride
Analytical Sciences, 2014, 30(8), 783.
DOI: 10.2116/analsci.30.783
figure

Original Papers

Quality Assessment of INAA Data for Small-sized Environmental Reference Samples
Wanna WIMOLWATTANAPUN, Supamatthree BUNPRAPOB, Mang Dung HO, SUTISNA, Yasuji OURA, and Mitsuru EBIHARA
Keywords: QA/QC,INAA,reference samples,z score,zeta-score
Analytical Sciences, 2014, 30(8), 787.
DOI: 10.2116/analsci.30.787
figure

Ultrasonic and Densimetric Titration Applied for Acid-base Reactions
Andrzej BURAKOWSKI and Jacek GLINSKI
Keywords: Sound speed,compressibility,density,densimetric titration,acoustic titration,hydration number,monitoring of chemical reactions
Analytical Sciences, 2014, 30(8), 793.
DOI: 10.2116/analsci.30.793
figure

hot article mark
Optical Characterization of the Antigen–Antibody Thin Layer Using the Whispering Gallery Mode
Takeshi TAJIRI, Shuzo MATSUMOTO, Toshihiko IMATO, Toshihiro OKAMOTO, and Masanobu HARAGUCHI
Keywords: Microsphere,whispering gallery mode,resonance sensors,biosensors
Analytical Sciences, 2014, 30(8), 799.
DOI: 10.2116/analsci.30.799
figure

hot article mark
Ligation-Independent Mechanism of Multiplex Ligation-Dependent Probe Amplification
Naoki UNO and Katsunori YANAGIHARA
Keywords: MLPA,ligation,fragment analysis,helicase-dependent amplification
Analytical Sciences, 2014, 30(8), 805.
DOI: 10.2116/analsci.30.805
figure

A Label-free Fluorescence Assay for Trypsin Based on the Electron Transfer between Oligonucleotide-stabilized Ag Nanoclusters and Cytochrome c
Mei-Lan HONG, Li-Juan LI, Hui-Xia HAN, and Xia CHU
Keywords: Ag nanoclusters,trypsin,cytochrome c
Analytical Sciences, 2014, 30(8), 811.
DOI: 10.2116/analsci.30.811
figure

A Fluorescence Probe Based on Biomolecule-stabilized Gold Nanoclusters for the Detection of Pazufloxacin Mesilate
Xueling CAO, Lili LIAN, Hongwei LI, Yuqing WU, and Dawei LOU
Keywords: Pazufloxacin mesilate,fluorescence probe,gold nanoclusters
Analytical Sciences, 2014, 30(8), 817.
DOI: 10.2116/analsci.30.817
figure

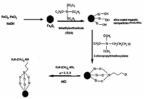
Effect of Aliphatic Diamine Length Functionalized Silica Coated Iron Magnetic Nanoparticles on Metal Capacity and Speed of Cu(II) Uptake from Aqueous Media
Salwa A. AHMED and Ezzat M. SOLIMAN
Keywords: Magnetic nanoparticles,ethylenediamine,copper ions,kinetics,isotherm
Analytical Sciences, 2014, 30(8), 823.
DOI: 10.2116/analsci.30.823
figure

Exploiting Zone Trapping to Avoid Liberation of Air Bubbles in Flow-based Analytical Procedures Requiring Heating
Ana C. F. VIDA and Elias A. G. ZAGATTO
Keywords: Flow analysis,zone trapping,heating,spectrophotometry,vanadium,natural waters
Analytical Sciences, 2014, 30(8), 833.
DOI: 10.2116/analsci.30.833
figure

Quantitative Determination of Total L-Carnitine in Infant Formula, Follow-up Formula, and Raw Materials by Liquid Chromatography with Tandem Mass Spectrometry
Isao NADAOKA, Emi HATAKEYAMA, Chihiro TANADA, Tasuku SAKAMOTO, Shinichi FUKAYA, Takashi AKIBA, Koichi INOUE, Yutaka YAMANO, and Toshimasa TOYO’OKA
Keywords: LC-MS/MS,L-carnitine,infant formula,raw materials,multi-mode ODS column
Analytical Sciences, 2014, 30(8), 839.
DOI: 10.2116/analsci.30.839
figure

Notes

Sensitive Quantitation of Residual Phenylhydrazine in Antipyrine by LC-ICP-MS with Iodo Derivatization
Koki HARIGAYA, Hiroyuki YAMADA, Shingo HORIMOTO, Hiroyuki NISHI, and Jun HAGINAKA
Keywords: Phenylhydrazine,LC-ICP-MS,3-iodophenyl isocyanate,2,3,5-triiodobenzoyl chloride,genotoxic impurity, antipyrine,active pharmaceutical ingredient
Analytical Sciences, 2014, 30(8), 845.
DOI: 10.2116/analsci.30.845
figure

Announcements

Analytical Sciences, 2014, 30(8), 851.
DOI: 10.2116/analsci.30.851