Analytical Sciences


Cover image of volume 30, number 9

Volume 30, Number 9 (2014)

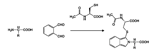
Cover illustration of this month"Computational Prediction of Diastereomeric Separation Behavior of Fluorescent o-Phthalaldehyde Derivatives of Amino Acids" by Kenichiro TODOROKI et al. (p.865). See larger image


Hot Articles − Volume 30, Number 9 (2014)

hot article mark
Computational Prediction of Diastereomeric Separation Behavior of Fluorescent o-Phthalaldehyde Derivatives of Amino Acids
Kenichiro TODOROKI, Tatsuki NAKANO, Hiroki WATANABE, Jun Zhe MIN, Koichi INOUE, Yoshinobu ISHIKAWA, and Toshimasa TOYO’OKA
Keywords: Amino acid, chiral derivatization, computational calculation, diastereomer, liquid chromatography
Analytical Sciences, 2014, 30(9), 865.
DOI: 10.2116/analsci.30.865

hot article mark
Pyrolysis–Gas Chromatography/Multiphoton Ionization/Time-of-Flight Mass Spectrometry for the Rapid and Selective Analysis of Polycyclic Aromatic Hydrocarbons in Aerosol Particulate Matter
Shunsuke SAKURAI and Tomohiro UCHIMURA
Keywords: Suspended particulate matter, polycyclic aromatic hydrocarbons, pyrolyzer, gas chromatography, multiphoton ionization, time-of-flight mass spectrometry
Analytical Sciences, 2014, 30(9), 891.
DOI: 10.2116/analsci.30.891

hot article mark
An Organophosphate Sensor Based on Photo-crosslinked Hydrogel-entrapped E. coli
Valerie FLEISCHAUER and Jinseok HEO
Keywords: Hydrogel, organophosphate, whole cell sensor
Analytical Sciences, 2014, 30(9), 937.
DOI: 10.2116/analsci.30.937


Table of Contents − Volume 30, Number 9 (2014)

Call for Papers

Electroanalysis with New Electrode Materials and Advanced Electrochemical Devices
Analytical Sciences, 2014, 30(9), 857.
DOI: 10.2116/analsci.30.857

Special Reviews

Nanobiodevice-based Single Biomolecule Analysis, Single-Cell Analysis, and in vivo Imaging for Cancer Diagnosis, Cancer Theranostics, and iPS Cell-based Regenerative Medicine
Noritada KAJI and Yoshinobu BABA
Keywords: Nanobiodevices, single biomolecule analysis, single cell analysis, quantum dots
Analytical Sciences, 2014, 30(9), 859.
DOI: 10.2116/analsci.30.859
figure

Original Papers

hot article mark
Computational Prediction of Diastereomeric Separation Behavior of Fluorescent o-Phthalaldehyde Derivatives of Amino Acids
Kenichiro TODOROKI, Tatsuki NAKANO, Hiroki WATANABE, Jun Zhe MIN, Koichi INOUE, Yoshinobu ISHIKAWA, and Toshimasa TOYO’OKA
Keywords: Amino acid, chiral derivatization, computational calculation, diastereomer, liquid chromatography
Analytical Sciences, 2014, 30(9), 865.
DOI: 10.2116/analsci.30.865
figure

Effect of the Detector Dead-time Uncertainty on the Analytical Result of Minor Elements in Low-alloy Steel by Isotope Dilution/ICP Sector Field Mass Spectrometry
Naoko NONOSE, Akiharu HIOKI, and Koichi CHIBA
Keywords: IDMS in a medium-resolution mode, CCQM interlaboratory study, low-alloy steel, negative dead-time of the detector, uncertainty calculation
Analytical Sciences, 2014, 30(9), 871.
DOI: 10.2116/analsci.30.871
figure

Kinetic Flow-injection Analysis of Boron Using 5-Fluorosalicylaldehyde and H-acid
SARENQIQIGE, Takamasa KODANI, Mari KAJIWARA, Kô TAKEHARA, and Kazuhisa YOSHIMURA
Keywords: Boron, H-acid, F-salicylaldehyde, azomethine H, flow injection analysis, RO desalination water, natural water
Analytical Sciences, 2014, 30(9), 885.
DOI: 10.2116/analsci.30.885
figure

hot article mark
Pyrolysis–Gas Chromatography/Multiphoton Ionization/Time-of-Flight Mass Spectrometry for the Rapid and Selective Analysis of Polycyclic Aromatic Hydrocarbons in Aerosol Particulate Matter
Shunsuke SAKURAI and Tomohiro UCHIMURA
Keywords: Suspended particulate matter, polycyclic aromatic hydrocarbons, pyrolyzer, gas chromatography, multiphoton ionization, time-of-flight mass spectrometry
Analytical Sciences, 2014, 30(9), 891.
DOI: 10.2116/analsci.30.891
figure

Development of Highly Sensitive Amperometric Biosensor for Glucose Using Carbon Nanosphere/Sodium Alginate Composite Matrix for Enzyme Immobilization
En HAN, Xia LI, Jian-Rong CAI, Hai-Ying CUI, and Xing-Ai ZHANG
Keywords: Carbon nanosphere, sodium alginate, hybrid material, amperometric biosensor
Analytical Sciences, 2014, 30(9), 897.
DOI: 10.2116/analsci.30.897
figure

Fabrication of Graphene Coated Carbon Fiber Microelectrode for Highly Sensitive Detection Application
Jie BAI, Xiaojuan WANG, Yuning MENG, Hui-Min ZHANG, and Liangti QU
Keywords: Graphene, carbon fiber, microelectrode, potassium ferricyanide, dopamine
Analytical Sciences, 2014, 30(9), 903.
DOI: 10.2116/analsci.30.903
figure

Development of Glassy Carbon Electrode Modified with Ruthenium Red-multiwalled Carbon Nanotubes for Simultaneous Determination of Epinephrine and Acetaminophen
Hadi Hassani NADIKI, Meissam NOROOZIFAR, and Mozhgan KHORASANI-MOTLAGH
Keywords: Sensor, ruthenium red, carbon nanotubes, epinephrine, acetaminophen
Analytical Sciences, 2014, 30(9), 911.
DOI: 10.2116/analsci.30.911
figure

Analysis of Ion-association Equilibrium of Precipitable Dipicrylaminate Ion in Aqueous Solution by Capillary Zone Electrophoresis
Toshio TAKAYANAGI, Kinuyo OGURA, and Tomoki YABUTANI
Keywords: Dipicrylaminate ion, alkali metal ions, 18-crown-6 ether complexes, ion-association equilibrium, aqueous solution, capillary zone electrophoresis
Analytical Sciences, 2014, 30(9), 919.
DOI: 10.2116/analsci.30.919
figure

Quantification of Tamoxifen in Pharmaceutical Formulations Using Micellar Liquid Chromatography
Juan PERIS-VICENTE, Samuel CARDA-BROCH, and Josep ESTEVE-ROMERO
Keywords: Cancer, formulation, micellar, tamoxifen, validation
Analytical Sciences, 2014, 30(9), 925.
DOI: 10.2116/analsci.30.925
figure

Indirect Quantitation of Saxitoxin by HPLC with Post-column Oxidation and Fluorometric Detection
Ryuichi WATANABE, Tomoko HARADA, Ryoji MATSUSHIMA, Hiroshi OIKAWA, Yasukatsu OSHIMA, Masaki KANENIWA, and Toshiyuki SUZUKI
Keywords: Saxitoxin, post-column HPLC, paralytic shellfish toxins, decarbamoylsaxitoxin
Analytical Sciences, 2014, 30(9), 931.
DOI: 10.2116/analsci.30.931
figure

hot article mark
An Organophosphate Sensor Based on Photo-crosslinked Hydrogel-entrapped E. coli
Valerie FLEISCHAUER and Jinseok HEO
Keywords: Hydrogel, organophosphate, whole cell sensor
Analytical Sciences, 2014, 30(9), 937.
DOI: 10.2116/analsci.30.937
figure

Announcements

Analytical Sciences, 2014, 30(9), 943.
DOI: 10.2116/analsci.30.943