Analytical Sciences


Cover image of volume 32, number 3

Volume 32, Number 3 (2016)

Cover illustration of this month"Biocatalytic Formation of Gold Nanoparticles Decorated with Functional Proteins inside Recombinant Escherichia coli Cells" by Yukiho HOSOMOMI, Teppei NIIDE, Rie WAKABAYASHI, Masahiro GOTO, and Noriho KAMIYA(p.295). See larger image


Hot Articles − Volume 32, Number 3 (2016)

hot article mark
Backward-scattering-based Localized Surface Plasmon Resonance Sensors with Gold Nanospheres and Nanoshells
Tokuhisa KAWAWAKI, Naoaki SHINJO, and Tetsu TATSUMA
Keywords: Localized surface plasmon resonance (LSPR), LSPR sensor, refractive index, light scattering, gold nanoshell
Analytical Sciences, 2016, 32(3), 271.
DOI: 10.2116/analsci.32.271

hot article mark
A Rapid and Automated Device for Purifying Nucleic Acids
Masayuki UEHARA, Masato HANAMURA, Kiyohito YAMADA, Akemi YAMAGUCHI, Toshiro MURAYAMA, Yuji SAITO, Kotaro IDEGAMI, and Takayuki HONDA
Keywords: Nucleic acid, extraction, polymerase chain reaction, cartridge, magnetic beads
Analytical Sciences, 2016, 32(3), 371.
DOI: 10.2116/analsci.32.371


Table of Contents − Volume 32, Number 3 (2016)

Call for Papers

“New Analytical Methodology and Materials for Mechanobiology”
Analytical Sciences, 2016, 32(3), 265.
DOI: 10.2116/analsci.32.265

“Frontiers of Vibrational Spectroscopy in Analytical Chemistry”
Analytical Sciences, 2016, 32(3), 267.
DOI: 10.2116/analsci.32.267

Guest Editorial


Special Issue: Recent Advances in Nanoscale Particles and Structures for Analytical Applications
“Recent Advances in Nanoscale Particles and Structures for Analytical Applications”
Analytical Sciences, 2016, 32(3), 269.
DOI: 10.2116/analsci.32.269

Original Papers - Special issue

hot article mark
Backward-scattering-based Localized Surface Plasmon Resonance Sensors with Gold Nanospheres and Nanoshells
Tokuhisa KAWAWAKI, Naoaki SHINJO, and Tetsu TATSUMA
Keywords: Localized surface plasmon resonance (LSPR), LSPR sensor, refractive index, light scattering, gold nanoshell
Analytical Sciences, 2016, 32(3), 271.
DOI: 10.2116/analsci.32.271
figure

Thermal and Chemical Stabilization of Silver Nanoplates for Plasmonic Sensor Application
Yukina TAKAHASHI, Koichi SUGA, Takuya ISHIDA, and Sunao YAMADA
Keywords: Silver nanoplates, plasmonic sensors, localized surface plasmon resonance
Analytical Sciences, 2016, 32(3), 275.
DOI: 10.2116/analsci.32.275
figure

Optical Characterization of Gold Nanoparticle Layers Formed on Plastic Microbeads
Hiroshi SHIIGI, Takahiro FUJITA, Xueling SHAN, Masahiro TERABE, Atsushi MIHASHI, Yojiro YAMAMOTO, and Tsutomu NAGAOKA
Keywords: Gold nanoparticle, metal coating, conducting microbead, evaluation of coverage and thickness
Analytical Sciences, 2016, 32(3), 281.
DOI: 10.2116/analsci.32.281
figure

Morphology Effects of Cap-shaped Silver Nanoparticle Films as a SERS Platform
Hiroyuki TAKEI, and Takayuki OKAMOTO
Keywords: Surface-enhanced Raman spectroscopy, metal film on nanospheres, random structure, heterogeneity
Analytical Sciences, 2016, 32(3), 287.
DOI: 10.2116/analsci.32.287
figure

Biocatalytic Formation of Gold Nanoparticles Decorated with Functional Proteins inside Recombinant Escherichia coli Cells
Yukiho HOSOMOMI, Teppei NIIDE, Rie WAKABAYASHI, Masahiro GOTO, and Noriho KAMIYA
Keywords: Genetic engineering, gold nanoparticles, biocatalyst, biomineralization, biosynthesis, , immunoassay
Analytical Sciences, 2016, 32(3), 295.
DOI: 10.2116/analsci.32.295
figure

Light-scattering Characteristics of Metal Nanoparticles on a Single Bacterial Cell
Takamasa KINOSHITA, Keita KISO, Dung Q. LE, Hiroshi SHIIGI, and Tsutomu NAGAOKA
Keywords: Metal nanoparticles, light-scattering, dark-field microscopy, cell imaging, bacteria
Analytical Sciences, 2016, 32(3), 301.
DOI: 10.2116/analsci.32.301
figure

Notes - Special issue

Dark Field Microscopic Sensitive Detection of Amyloid Fibrils Using Gold Nanoparticles Modified with Antibody
Tong BU, Tamotsu ZAKO, and Mizuo MAEDA
Keywords: Dark field microscopy, gold nanoparticle, single molecule analysis, amyloid β fibrils, sensitive detection
Analytical Sciences, 2016, 32(3), 307.
DOI: 10.2116/analsci.32.307
figure

Original Papers - Regular issue

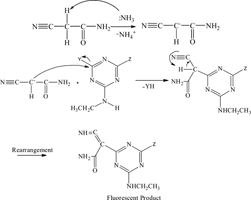
Spectrofluorimetric Method for Quantification of Triazine Herbicides in Agricultural Matrices
Mian MUHAMMAD, Jasmin SHAH, M. Rasul JAN, Behisht ARA, Mariam MAHABAT KHAN, and Abid JAN
Keywords: Spectrofluorimetric, atrazine, terbutryn, 2-cyanoacetamide, fluorescence intensity
Analytical Sciences, 2016, 32(3), 313.
DOI: 10.2116/analsci.32.313
figure

Inhibition of Rhodamine B-Ferricyanide Chemiluminescence by Gold Nanoparticles and Sensitive Determination of Hazardous Cyanide
Nafiseh BAGHERI, Nader DJAFARZADEH, and Javad HASSANZADEH
Keywords: Cyanide, chemiluminescence, Au nanoparticles, inhibition, ferricyanide
Analytical Sciences, 2016, 32(3), 317.
DOI: 10.2116/analsci.32.317
figure

A Sensitive and Disposable Graphene Oxide Electrochemical Immunosensor for Label-free Detection of Human Immunoglobulin G
Watthanachai JUMPATHONG, Jaroon JAKMUNEE, and Kontad OUNNUNKAD
Keywords: Graphene oxide, electrochemical immunosensor, human immunoglobulin G, biomarker, screen-printed carbon electrode
Analytical Sciences, 2016, 32(3), 323.
DOI: 10.2116/analsci.32.323
figure

A Green Sequential Injection Spectrophotometric Approach Using Natural Reagent Extracts from Heartwood of Ceasalpinia sappan Linn. for Determination of Aluminium
Watsaka SIRIANGKHAWUT, Yaowalak KHANHUATHON, Piyanete CHANTIRATIKUL, Kraingkrai PONHONG, and Kate GRUDPAN
Keywords: Green analytical chemistry, sequential injection, spectrophotometry, natural reagent, aluminium, Linn.
Analytical Sciences, 2016, 32(3), 329.
DOI: 10.2116/analsci.32.329
figure

Flow-Injection Determination of Thiabendazole Fungicide in Water Samples Using a Diperiodatocuprate(III)–Sulfuric Acid–Chemiluminescence System
Mohammad ASGHAR, Mohammad YAQOOB, Nusrat MUNAWAR, and Abdul NABI
Keywords: Flow injection analysis, DPC, chemiluminescence, thiabendazole, water samples
Analytical Sciences, 2016, 32(3), 337.
DOI: 10.2116/analsci.32.337
figure

Enhanced Retention of Chelating Reagents in Octadecylsilyl Silica Phase by Interaction with Residual Silanol Groups in Solid Phase Extraction of Divalent Metal Ions
Satoshi OHMURO, Kan FUJII, Takashi YASUI, Kazutake TAKADA, Akio YUCHI, and Hisao KOKUSEN
Keywords: ODS, extraction, nitrogen-containing reagents, Langmuir adsorption, distribution, divalent transition metal ions
Analytical Sciences, 2016, 32(3), 343.
DOI: 10.2116/analsci.32.343
figure

An Easy-to-Use Polystyrene Microchip-based Cell Culture System
Hidekatsu TAZAWA, Shohei SUNAOSHI, Manabu TOKESHI, Takehiko KITAMORI, and Ritsuko OHTANI-KANEKO
Keywords: Microchip, microfluidics, cell assay, bubble trap, endothelial cell, cell-response monitoring
Analytical Sciences, 2016, 32(3), 349.
DOI: 10.2116/analsci.32.349
figure

Impedance Analysis of Colloidal Gold Nanoparticles in Chromatography Paper for Quantitation of an Immunochromatographic Assay
Fumitaka HORI, Yuji HARADA, Tatsumi KURETAKE, and Shigeyasu UNO
Keywords: Immunochromatography, chromatography paper, gold nanoparticles, solution resistance
Analytical Sciences, 2016, 32(3), 355.
DOI: 10.2116/analsci.32.355
figure

Notes - Regular issue

A Method for the Highly Selective, Colorimetric and Ratiometric Detection of Hg2+ in a 100% Aqueous Solution
Jingkai LIU, Zhenghe XU, Lirong XU, Zhen BIAN, Guoqing SANG, and Baocun ZHU
Keywords: Mercury ion, naked-eye detection, ratiometric assay, tricyanoethylene derivative, mercaptoethanol
Analytical Sciences, 2016, 32(3), 361.
DOI: 10.2116/analsci.32.361
figure

Improvement of the Mutation-Discrimination Threshold for Rare Point Mutations by a Separation-Free Ligase Detection Reaction Assay Based on Fluorescence Resonance Energy Transfer
Kenta HAGIHARA, Kazuhiko TSUKAGOSHI, Chinami NAKAJIMA, Shinsuke ESAKI, and Masahiko HASHIMOTO
Keywords: Point mutation, polymerase chain reaction, ligase detection reaction, fluorescence resonance energy transfer, quantum dot, fluorescent dye
Analytical Sciences, 2016, 32(3), 367.
DOI: 10.2116/analsci.32.367
figure

hot article mark
A Rapid and Automated Device for Purifying Nucleic Acids
Masayuki UEHARA, Masato HANAMURA, Kiyohito YAMADA, Akemi YAMAGUCHI, Toshiro MURAYAMA, Yuji SAITO, Kotaro IDEGAMI, and Takayuki HONDA
Keywords: Nucleic acid, extraction, polymerase chain reaction, cartridge, magnetic beads
Analytical Sciences, 2016, 32(3), 371.
DOI: 10.2116/analsci.32.371
figure

Announcements

Analytical Sciences, 2016, 32(3), 375.
DOI: 10.2116/analsci.32.375